At its core, a Time-of-Flight (ToF) sensor is a range-imaging camera system that resolves distance by measuring the "flight time" of a light signal between the sensor and an object. While the concept sounds simple—much like a light-based version of sonar—the execution requires nanosecond precision and sophisticated optoelectronics.
ToF technology generally splits into two primary architectures: Direct ToF (dToF) and Indirect ToF (iToF). Each employs a different mathematical and physical approach to capturing the third dimension.
1. Direct ToF (dToF): The Stopwatch Approach
Direct ToF is the most intuitive method. The sensor emits a discrete pulse of light (usually infrared) and uses a high-speed "stopwatch" to measure the exact time elapsed until the photon returns.
The Mechanism: It utilizes Single-Photon Avalanche Diodes (SPADs). These are detectors capable of triggering a massive current flow from a single incident photon, providing the sub-nanosecond timing resolution required.
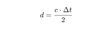
The Math: Since light travels at a constant 𝒞 (approximately 3 X 10⁸ m/s ), the distance d is calculated using the round-trip time Δt:

Advantages: dToF is highly power-efficient and excels at long-range detection because it only needs to identify the "spike" of the returning pulse against background noise.
2. Indirect ToF (iToF): Phase-Shift Measurement
Indirect ToF does not measure individual photons. Instead, it emits a continuous, modulated light wave (usually a sine or square wave) and measures the phase shift of the reflected signal.
The Mechanism: The sensor compares the phase of the outgoing wave with the phase of the returning wave. By sampling the reflected light at specific intervals (typically four "bins" or phases: 0°, 90°, 180°, and 270°), the sensor can reconstruct the wave's displacement.
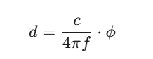
The Math: The phase shift ∅ is proportional to the distance. If ℱ is the modulation frequency, the distance is:
Advantages: iToF offers significantly higher spatial resolution (mega-pixel depth maps) because it can be integrated into standard CMOS image sensor architectures. It is the preferred choice for facial recognition and detailed 3D scanning.
3. Critical Technical Challenges
Achieving high accuracy in ToF sensing requires overcoming several physical hurdles:
The Ambiguity Distance: In iToF, if an object is so far away that the phase shifts by more than 2π, the sensor "wraps around" and reports a false proximity. Engineers solve this using Multi-Frequency Modulation, comparing two different frequencies to "de-alias" the data.
Multi-Path Interference (MPI): This occurs when light bounces off multiple surfaces (e.g., the corner of a room) before returning to the pixel. This creates a "blended" phase, leading to measurement errors.
Ambient Noise: Sunlight contains massive amounts of IR radiation. ToF sensors use narrow-bandpass optical filters and high-frequency modulation to distinguish their own "signal" from the solar "noise."
4. dToF vs. iToF: A Quick Comparison
| Feature | Direct ToF (dToF) | Indirect ToF (iToF) |
| Detection | Single Photon (SPAD) | Phase accumulation (CMOS) |
| Range | Long (up to 200m+) | Short to Medium (up to 5-10m) |
| Resolution | Lower (Point clouds) | Higher (Depth Maps) |
| Power Consumption | Low | High (Constant illumination) |
| Common Use | LiDAR, Drones, Self-driving cars | Smartphones, VR/AR, Gesture control |
5. Precision with DOMI Technology
While the physics of ToF remains constant, the engineering execution determines the boundary between a noisy signal and a high-fidelity 3D map. This is where DOMI steps in.
Welcome to order DOMI ToF sensors. Our sensors are engineered to master the critical technical challenges that often plague standard modules:
Advanced MPI Suppression: DOMI’s proprietary algorithms effectively filter out Multi-Path Interference (MPI), ensuring accurate depth readings even in complex environments with high reflectivity or tight corners.
High Dynamic Range (HDR) Performance: Whether in low-light indoor settings or bright outdoor sunlight, DOMI sensors utilize narrow-band filters and optimized modulation to maintain a superior Signal-to-Noise Ratio (SNR).
Seamless Integration: Designed for versatility, DOMI ToF modules offer compact form factors with high spatial resolution, making them ideal for everything from industrial automation to consumer electronics.
4. Technical Comparison at a Glance
| Feature | Direct ToF (dToF) | Indirect ToF (iToF) | DOMI Advantage |
| Detection | Single Photon (SPAD) | Phase accumulation | Optimized SNR |
| Range | Long (up to 200m+) | Short/Medium | Stable precision |
| Resolution | Lower (Point clouds) | Higher (Depth Maps) | Millimeter accuracy |
| Common Use | LiDAR, Drones | Smartphones, AR/VR | Industrial & Consumer |
ToF technology is the bridge between a machine's perception and the physical reality of our 3D world. By mastering the nuances of light speed and phase modulation, DOMI provides the "eyes" for the next generation of autonomous systems.
Welcome to order DOMI ToF sensors to experience industry-leading depth sensing performance. Whether you are building smart robotics or enhancing gesture recognition, DOMI provides the reliability and precision your project demands.
